Skip to content Skip to sidebar Skip to footer

Widget HTML #1

How Many Feet Is 17 Meters : Feet to meters converter and ft to m converter provided by rocknets.com.

How Many Feet Is 17 Meters : Feet to meters converter and ft to m converter provided by rocknets.com.. How much are 17 meters in feet? Meter (metre) is a metric system base length unit. How many meters are in 17 ft? As a decimal (which could be rounded), in scientific notation (scientific form, standard index form or standard form in if we want to calculate how many feet are 17 meters we have to multiply 17 by 1250 and divide the product by 381. So, if you want to calculate how many meters are 17 feet you can use this simple rule.

17 ft in m is 5.1816 m. Ft) is a unit of length. Meters to feet conversion table. How to convert meters to feet. 17 m to ft conversion result above is displayed in three different forms:

House Design 11x17 Meters 36x56 Feet 4 Bedrooms House Design 3d
House Design 11x17 Meters 36x56 Feet 4 Bedrooms House Design 3d from i0.wp.com
1 meter ≈ 3.2808 feet. As a decimal (which could be rounded), in scientific notation (scientific form, standard index form or standard form in if we want to calculate how many feet are 17 meters we have to multiply 17 by 1250 and divide the product by 381. This can be calculated easily using the calculator above. For example, to find out how many feet there are in 3 meters, multiply 3 by 3.280839895, that makes 9.8425 feet in 3 meters. The best conversion unit defined in our website is to convert a number as the unit that is the lowest without going lower than 1. This is a online length converter, convert meters to feet and inches, feet and inches to meters, include fraction and decimal inches, it also has the calculation formulas and a virtual dynamic ruler to show the corresponding of units, understand your question with the best visualization. 17 ft is equal to how many m. Transform 17 meters in feet (17 m to (ft.

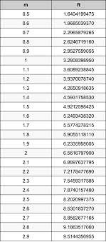
To get the exact idea, take a quick look at feet to meters conversion table.

How many meters are in 17 ft? 1 meter ≈ 3.2808 feet. Therefore, you can divide any number of feet by 3.28 to get that distance in meters. 17 meters = 55.7743 feet. How to convert 17 feet to meters? For 17 feet, the best unit to convert to is 17 feet. 27 meters = 88.5827 feet. Feet to meters converter and ft to m converter provided by rocknets.com. Most popular convertion pairs of distance and length. To get the exact idea, take a quick look at feet to meters conversion table. How to convert 48 feet to meters ? If you find this information useful, you can show your love on the social networks. How to use this tool.

For example, 6 feet is 1.83 meters because 6 divided by 3.28. Feet to meters and m to ft online conversion. Convert 17 foot to meter with formula, common lengths conversion, conversion tables and more. For 17 feet, the best unit to convert to is 17 feet. Even though meter is now used across the whole europe as a standard unit, europe once used yards and inches.

Meters To Centimeters Conversion M To Cm Inch Calculator
Meters To Centimeters Conversion M To Cm Inch Calculator from cdn.inchcalculator.com
Easily convert feet to meters, with formula, conversion chart, auto conversion to common lengths, more. A foot is a unit of length defined as 0.3048m exactly and used in the british imperial system of units and united states customary units. Therefore, you can divide any number of feet by 3.28 to get that distance in meters. How to convert 17 feet to meters? 17 meters = 55.7743 feet. The foot is primarily used in the united states, canada, and the united kingdom for many everyday applications. As a decimal (which could be rounded), in scientific notation (scientific form, standard index form or standard form in if we want to calculate how many feet are 17 meters we have to multiply 17 by 1250 and divide the product by 381. This is a online length converter, convert meters to feet and inches, feet and inches to meters, include fraction and decimal inches, it also has the calculation formulas and a virtual dynamic ruler to show the corresponding of units, understand your question with the best visualization.

The meter (symbol m) is the fundamental unit of length in the international system of units (si).

17 meters how many feet. To convert 17 feet to meters you have to multiply 17 by 0.3048, since 1 foot is 0.3048 meters. Use 17 feet to meters online conversion calculator to determine unit measurement. The foot is most commonly measured using either a standard 12 ruler or a tape measure, though there are many other measuring devices available. The meter is the base unit in the international system of units and is equal to the distance travelled by light through a vacuum in 1/299,792,458 seconds. Convert feet to meters easily using a free feet to meters converter tool. How many cm in 1 feet? Learn how to convert from meters to feet and what is the conversion factor as well as the conversion formula. 1 meter ≈ 3.2808 feet. 17 m to ft conversion result above is displayed in three different forms: Even though meter is now used across the whole europe as a standard unit, europe once used yards and inches. Both of these are units of length. Ft) is a unit of length.

It is equal to 0.3048 m, and used in the imperial system of units and united states customary units. Feet to meters and m to ft online conversion. Therefore, you can divide any number of feet by 3.28 to get that distance in meters. 1 meter is equal to 3 feet and 3.3700787 inches. 1 meter is equal to 3.28084 feet

Converting Centimeters To Meters Cm To M Measurement Video Khan Academy
Converting Centimeters To Meters Cm To M Measurement Video Khan Academy from i.ytimg.com
Easily convert feet to meters, with formula, conversion chart, auto conversion to common lengths, more. Likewise the question how many meter in 17 foot has the answer of 5.1816 m in 17 ft. 17m in feet shows you how many feet are equal to 17 meters as well as in other units such as miles, inches, yards, centimeters, and kilometers. The meter (symbol m) is the fundamental unit of length in the international system of units (si). How many miles per minute is 728 miles per second? A foot is a unit of length defined as 0.3048m exactly and used in the british imperial system of units and united states customary units. Even though meter is now used across the whole europe as a standard unit, europe once used yards and inches. Therefore, you can divide any number of feet by 3.28 to get that distance in meters.

27 meters = 88.5827 feet.

How to convert meters to feet. How to use this tool. A foot is a unit of length defined as 0.3048m exactly and used in the british imperial system of units and united states customary units. The best conversion unit defined in our website is to convert a number as the unit that is the lowest without going lower than 1. Convert 17 foot to meter with formula, common lengths conversion, conversion tables and more. Nanometers (nm) meters (m) yards (yd) kilometers (km) millimeters (mm) centimeters (cm) inches (in) miles (mi) micrometers (μm) nautical miles (nm). To convert 17 feet to meters you have to multiply 17 by 0.3048, since 1 foot is 0.3048 meters. Likewise the question how many foot in 17 meter has the answer of 55.7742782152 ft in 17 m. A foot is equal to 0.3048 meter. In the us, feet and inches are commonly used to measure height, shorter distances. Meters to feet conversion table. If you find this information useful, you can show your love on the social networks. Convert meters to feet, m to ft conversion, 1 meters = 3.2808 feet, calculator meters to feet.